IGBT
IGBT是一種非常重要的電力電子器件。它不僅具有功率MOSFET的低驅動功率和高開關頻率的優點,而且具有大功率晶體管低導通電壓和高導通電流的優點。它可以在任何時間關斷導通電流,避免了普通晶閘管只能在半波內關斷的缺點。它是電力電子領域很有前途的大功率半導體器件。
IGBT又稱絕緣柵雙極晶體管,是電力半導體器件第三次技術革命的代表產品。廣泛應用于軌道交通、航天、船舶驅動、智能電網、新能源、交流變頻、風力發電、電機驅動、汽車等行業。它自創立以來已經有大約30年了。它實現了12英寸的硅片和6500伏的高電平。

簡單易懂的IGBT驅動電路
IGBT目前被廣泛使用的高功率開關,廣泛應用于各行業的電子器件中。IGBT的工作狀態直接影響電子產品的性能,IGBT驅動電路對整個系統顯得很重要,為避免IGBT發生常見的過流而使IGBT損壞問題,本文主要研究了IGBT的驅動和短路保護問題,就其工作原理進行分析,設計出具有過流保護功能的驅動電路。
IGBT驅動電路圖如下:
圖1 IGBT驅動電路圖
本IGBT驅動電路具有的作用
(1)該驅動電路能夠為IGBT提供+15v和-5V驅動電壓確保IGBT的開通和關斷。
(2)具有過流保護功能,當過流時,保護電路起作用,及時的關斷IGBT,防止IGBT損壞。
(3)本電路的可根據負載的需要動態調節最大電流,可以有很廣的使用范圍。
(4)本驅動電路采用分立元件組成驅動電路,降低整個系統的成本。
IGBT驅動電路功能詳解
圖1中,高速光耦6N137實現輸入輸出信號的電氣隔離,能夠達到很好的電氣隔離,適合高頻應用場合。驅動主電路采用推挽輸出方式,有效地降低了驅動電路的輸出阻抗,提高了驅動能力,使之適合于大功率IGBT的驅動,過流保護電路運用退集電極飽和原理,在發生過流時及時的關斷IGBT,其中V1.V3.V4構成驅動脈沖放大電路。V1和R5構成一個射極跟隨器,該射極跟隨器提供了一個快速的電流源,減少了功率管的開通和關斷時間。利用集電極退飽和原理,D1、R6、R7和V2構成短路信號檢測電路.其中D1采用快速恢復二極管,為了防止IGBT關斷時其集電極上的高電壓竄入驅動電路。為了防止靜電使功率器件誤導通,在柵源之間并接雙向穩壓管D3和D4。如是IGBT的門極串聯電阻。
正常工作時:
當控制電路送來高電平信號時,光耦6N137導通,V1、V2截止,V3導通而V4截止,該驅動電路向IBGT提供+15V的驅動開啟電壓,使IGBT開通。
當控制電路送來低電平信號時,光耦6N137截至,VI、V2導通。V4導通而v3截止,該驅動電路向IBGT提供-5v的電壓,使IGBT關閉。
當過流時:
當電路出現短路故障時,上、下橋直通此時+15V的電壓幾乎全加在IGBT上.產生很大的電流,此時在短路信號檢測電路中v2截止,A點的電位取決于D1、R6、R7和Vces的分壓決定,當主電路正常工作時,且IGBT導通時,A點保持低電平,從而低于B點電位。所有A1輸出低電平,此時V5截止,而c點為高電平,所以正常工作時。輸入到光耦6N137的信號始終和輸出保持一致。當發生過流時,IGBT集電極退飽和,A點電位升高,當高于B電位(即是所設置的電位)時,即是當電流超過設計定值時,A1翻轉而輸出高電平,V5導通,從而將C點的電位箝在低電位狀態,使與門4081始終輸出低電平,即無論控制電路送來是高電平或是低電平,輸人到光耦6N137的信號始終都是低電平,從而關斷功率管。從而達到過流保護。直到將電路的故障排除后,重新啟動電路。
IGBT驅動電路設計過程:
IGBT是電壓型控制器件,為了能使IGBT安全可靠地開通和關斷.其驅動電路必須滿足以下的條件:
IGBT的柵電容比VMOSFET大得多,所以要提高其開關速度,就要有合適的門極正反向偏置電壓和門極串聯電阻。
(1)門極電壓
任何情況下,開通狀態的柵極驅動電壓都不能超過參數表給出的限定值(一般為20v),最佳門極正向偏置電壓為15v土10%。這個值足夠令IGBT飽和導通;使導通損耗減至最小。雖然門極電壓為零就可使IGBT處于截止狀態,但是為了減小關斷時間,提高IGBT的耐壓、dv/dt耐量和抗干擾能力,一般在使IGBT處于阻斷狀態時.可在門極與源極之間加一個-5~-15v的反向電壓。
(2)門極串聯電阻心
選擇合適的門極串聯電阻Rg對IGBT的驅動相當重要,Rg對開關損耗的影響見圖2。
圖2:Rg對開關損耗的影響
IGBT的輸入阻抗高壓達109~1011,靜態時不需要直流電流.只需要對輸入電容進行充放電的動態電流。其直流增益可達108~109,幾乎不消耗功率。為了改善控制脈沖的前后沿陡度和防止振蕩,減少IGBT集電極大的電壓尖脈沖,需在柵極串聯電阻Rg,當Rg增大時,會使IGBT的通斷時間延長,能耗增加;而減少RF又會使di/dt增高,可能損壞IGBT。因此應根據IGBT電流容量和電壓額定值及開關頻率的不同,選擇合適的Rg,一般選心值為幾十歐姆至幾百歐姆。具體選擇Rg時.要參考器件的使用手冊。
(3)驅動功率的要求
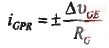
IGBT的開關過程要消耗一定的來自驅動電源的功耗,門極正反向偏置電壓之差為△Vge,工作頻率為f,柵極電容為Cge,則
電源的最少峰值電流為:
驅動電源的平均功率為:
(4)驅動電路須具有保護功能
IGBT的過流保護就是當上、下橋臂直通時,電源電壓幾乎全加在了開關管兩端,此時將產生很大的短路電流,IGBT飽和壓降越小,其電流就會越大,從而損壞器件。當器件發生過流時,將短路電流及其關斷時的I—V運行軌跡限制在IGBT的短路安全工作區,用在損壞器件之前,將IGBT關斷來避免開關管的損壞。
IGBT驅動電路仿真實驗:
本IGBT驅動電路在orCAD軟件的仿真圖形如下:
向驅動電路輸入,高電平為+15v,低電平為-5v的方波信號。IGBT的輸出波形如圖3所示:
圖3:IGBT輸出信號波形圖
根據前面的原理和分析,該電路的實際電路輸出波形如圖4所示:
圖4 實際電路輸出波形
以上內容由深圳市逸盛通科技有限公司為您帶來,深圳市逸盛通科技有限公司是一家集代理、分銷、直銷及為一體的電力電子半導體銷售和電力電子行業解決方案的產業鏈供應商。公司與各種半導體公司旗下的各大代理商長期保持良好的合作分銷關系。找深圳英飛凌igbt廠家,深圳英飛凌igbt銷售;就找逸盛通!歡迎來電咨詢:13316584388